
量子效率测试仪
PL/EL一体机
Sinton硅片少子寿命测试仪
Sinton硅块少子寿命测试仪
绒面反射率测试仪
3D共聚焦显微镜
在线四探针方阻测试仪
全自动扫描四探针方阻测试仪
在线薄膜厚度测试仪
晶化率测试仪
Horiba显微共焦拉曼光谱仪
傅里叶红外光谱仪
霍尔效应测试仪
分光光度计
全光谱椭偏仪
Horiba椭圆偏振光谱仪
TLM接触电阻率测试仪
超景深显微镜
网版智能影像测量仪
全自动影像测量仪
卧式拉力机
电池片稳态光衰老化试验箱
电池片紫外老化试验箱
电池片拉脱力综合测试仪
外观检验台
湿漏电测试系统
组件实验室EL测试仪
紫外老化试验箱
稳态光衰老化试验箱
电流连续性监测系统
PID测试系统
旁路二极管测试系统
LeTID测试系统
反向电流过载系统
脉冲电压测试系统
绝缘耐压测试仪
接地连续性测试仪
绝缘耐压接地测试仪
湿热环境试验箱
湿冻环境试验箱
热循环试验箱
动态机械载荷测试机
静态机械载荷测试机
冰雹冲击试验机
引出端强度试验机
霰弹冲击试验机
抗划伤(切割)测试机
剥离试验机
万能材料试验机(单臂)
万能材料试验机(双臂)
光伏玻璃透过率测试仪
醋酸测试试验箱
交联度测试系统
二极管接线盒综合测试仪
落球冲击试验机
半自动四探针
全自动探针式台阶仪
多通道太阳能MPPT系统
Horiba稳瞬态荧光光谱仪
大面积钙钛矿方阻椭偏二合一测试仪
大面积钙钛矿影像显微二合一监测站
钙钛矿P1激光划线测试仪
钙钛矿在线PL测试仪
钙钛矿在线方阻测试仪
钙钛矿在线膜厚测试仪
钙钛矿工艺检测工作站
便携式EL测试仪
手持热成像测试仪
户外组件多通道测试系统
光伏逆变器电能质量测试仪
无人机EL检测仪
光热真空老化试验箱
IV测试仪
IVEL分选机
无铟复合结在钙钛矿/硅叠层电池中的应用:AZO、ZTO与ITO在TOPCon钝化接触底电池上的性能对比
日期:2026-04-27浏览量:170
钙钛矿/硅叠层太阳能电池是突破单结电池效率极限的重要方向,但目前高效器件多依赖硅异质结底电池与含铟透明导电氧化物(如ITO)作为复合层。然而,铟的稀缺性限制了其大规模应用,且产业界更倾向于采用已占主导地位的TOPCon技术。为此,急需开发适用于TOPCon底电池、可工业化沉积的无铟复合层材料。美能QE量子效率测试仪可用于精确测量太阳电池的EQE与光谱响应,帮助优化界面工程和背接触设计,从而提升电池的量子效率和整体性能。
本研究对比了掺铝氧化锌(AZO)和掺锌氧化锡(ZTO)与ITO的性能,发现溅射沉积虽会对TOPCon造成损伤,但可通过退火修复。系统分析表明,ZTO在材料特性、空穴传输层兼容性及钙钛矿单结电池性能上均与ITO相当,而AZO则导致严重效率损失。最终在叠层电池中证实,采用ZTO复合层可实现与ITO相近的效率,且ZTO可采用直流溅射旋转靶材工艺,具备工业化可行性,为无铟复合层在TOPCon基全织构叠层电池中的应用提供了有效解决方案。
实验方法简述
n‐TOPCon欧姆衬底:采用磷掺杂、织构化的4英寸硅片,经热氧化生长隧穿氧化层,PECVD沉积掺磷a‐Si,900°C退火形成TOPCon,随后通过PECVD沉积SiNx进行氢化。TCO通过直流溅射沉积,厚度30 nm(正面)和200 nm(背面),之后进行300°C退火,背面蒸镀Ag,激光切割成2.5×2.5 cm²。
TOPCon²底电池:采用硼掺杂、正面织构化、背面平面的4英寸硅片,分别制备n‐TOPCon正面和p‐TOPCon背面,退火和氢化后,沉积TCO(ITO或ZTO),退火,背面蒸镀Ag。
钙钛矿电池制备:TCO / TOPCon衬底经UV‐臭氧处理,旋涂Me‐4PACz作为空穴传输层,热共蒸发PbI₂和CsI形成无机骨架,旋涂有机组分(FABr / FAI)并退火,部分样品采用PDAI钝化。随后热蒸发C₆₀作为电子传输层,ALD沉积SnOx,直流溅射ITO前电极,热蒸发Ag栅线和MgFₓ减反射层。
表征方法:XRD、霍尔效应、接触角、AFM、KPFM、EQE、JV测试(LED太阳模拟器)、Suns‐VOC测试。
TCO在TOPCon上的溅射沉积
(a)欧姆型nTOPCon样品结构(b) 三种TCO在氢化后、溅射后以及固化退火后的iVOC 值(c)所有TCO在固化退火前后与nTOPCon的接触电阻率
本研究采用欧姆型n‐TOPCon衬底,其具有织构化随机金字塔表面,两侧均制备有n‐TOPCon并经过氢化处理。TCO通过直流溅射沉积在两侧,其中ZTO和ITO使用旋转靶材,AZO使用平面靶材。工艺经过优化,以最小化对TOPCon钝化质量的损伤,同时保持低接触电阻率。
通过光致发光测量计算的空间平均隐含开路电压(iVOC)用于评估溅射损伤。初始氢化后的iVOC约为740 mV。溅射ZTO和ITO后,iVOC降至约710 mV,而AZO溅射造成的损伤最大,iVOC低于690 mV。经过300°C、5分钟的热板退火处理后,所有三种TCO的钝化质量均得到显著恢复,iVOC回升至720–730 mV。该退火过程通过修复硅界面处的悬挂键实现再钝化。
接触电阻率测量显示,AZO的接触电阻率最低(10–50 mΩ·cm²),退火后基本不变;ITO约为100 mΩ·cm²,退火后升至约300 mΩ·cm²;ZTO约为250 mΩ·cm²,退火后升至约430 mΩ·cm²。所有样品的接触电阻率均远低于影响叠层电池填充因子的阈值(约1 Ω·cm²),因此适合用于后续钙钛矿电池研究。
TCO材料特性及其对空穴传输层沉积的影响
(a)对沉积态和退火态TCO进行XRD测量以评估其结晶度(b)霍尔效应范德堡法测量得到的方阻Rsheet、迁移率μ和载流子浓度N
不同TCO的表面粗糙度差异显著:ZTO和ITO为无定形结构,表面较平坦;AZO结晶度较高,表面较粗糙。XRD测量表明,ZTO在退火前后均保持无定形状态;AZO在沉积态即显示出ZnO的(002)衍射峰,退火后无明显变化;ITO在沉积态为无定形,退火后出现对应于In₂O₃立方方铁锰矿结构(222)面的结晶峰。
霍尔效应测试结果显示,ITO具有最佳的横向导电性,方阻低于1 kΩ,退火前后变化不大。ZTO的方阻较高(沉积态约4 kΩ),退火后因载流子浓度增加而降低。AZO在沉积态时方阻约为1 kΩ,但退火后载流子浓度和迁移率均显著下降,方阻升至约40 kΩ。
(a)沉积态和退火态TCO层以及经过UV臭氧处理和HTL沉积后的接触角测量结果(b)平面硅衬底上退火态TCO在有/无 HTL情况下的功函数平均值
接触角测试表明,各TCO在退火前后的疏水性无显著差异,接触角约为60°。经15分钟UV‐臭氧处理后,所有TCO表面变得更亲水,其中ZTO表面甚至完全铺展。沉积Me‐4PACz空穴传输层后,所有样品的接触角均升至约80°,表明自组装单分子层覆盖均匀且取向良好。开尔文探针力显微镜测量显示,沉积空穴传输层后,各TCO的功函数均显著提升,最终值介于5.19 eV(ZTO)至5.28 eV(AZO)之间,有利于形成良好的能带对齐。
钙钛矿单结太阳能电池
在织构化欧姆型nTOPCon衬底上制备的钙钛矿单结太阳能电池样品结构示意图
为研究不同TCO对钙钛矿形成和电池性能的影响,在织构化的欧姆型n‐TOPCon衬底上制备了钙钛矿单结电池。结果显示,采用AZO的电池虽然具有较高的iVOC和VOC,但由于短路电流密度和填充因子极低,效率很差。JV曲线在短路电流密度附近出现陡降,通常与分流有关,但伪JV曲线和高伪填充因子表明实际分流电阻很高,因此问题可能源于接触层载流子迁移率较低。
(a) jSC、(b) iVOC、(c) VOC、(d) FF和pFF、(e)效率。每组测量四个电池,分别进行正向和反向JV扫描
相比之下,采用ITO和ZTO的电池均表现出良好性能。ZTO衬底上的电池VOC最高,且与iVOC接近,表明选择性损失小。填充因子方面,ITO略优于ZTO,这与霍尔测试中ZTO迁移率较低导致导电性较差的观察一致。退火处理对ITO和ZTO衬底上电池性能的影响不明显,但ZTO在沉积态时可使VOC提高20 mV,而退火后该增益消失。总体而言,ZTO与ITO在单结电池中表现相当,而AZO不适用于该结构。
钙钛矿/硅叠层太阳能电池
(a)叠层电池结构示意图:TOPCon底电池正面和背面TCO分别为ITO或ZTO,顶部为全织构钙钛矿电池(b) JSC、(c) VOC、(d) FF、(e) PCE
基于上述结果,选择ZTO作为有潜力的无铟复合层材料,在TOPCon底电池上制备了完整的叠层电池。底电池采用p型FZ硅片,正面为110 nm n‐TOPCon,背面为50 nm p‐TOPCon,TCO层正面厚度30 nm,背面厚度150 nm。分别制备了正面和背面均为ITO或ZTO的两种电池,背面蒸镀1 μm银,顶部钙钛矿电池采用含PDAI钝化层的混合工艺。
JV测试结果表明,采用ZTO和ITO复合层的叠层电池性能相近,包括短路电流密度、开路电压和填充因子均无明显差异。虽然本批次电池性能略低于前述单结电池,这归因于简化的器件结构和暗周边区域钝化质量较差,但ZTO与ITO之间并无性能差距。
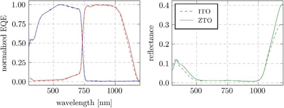
具有TOPCon² 底电池以及ITO或ZTO复合层的钙钛矿/硅叠层太阳能电池的EQE和反射率测量结果
外量子效率和反射率测量进一步证实了两者的光学性能相当。在300–1000 nm波长范围内,EQE曲线形状和反射率非常接近。在1100 nm以上波长,ZTO电池的反射率略高,表明其寄生吸收更少或陷光效果更好,但这对叠层电池的整体光学性能影响不大。
本文系统研究了在织构化n‐TOPCon上溅射沉积不同TCO对全织构钙钛矿/硅叠层太阳能电池的影响。重点对比了无铟替代材料AZO和ZTO与含铟ITO的性能。单结电池测试表明,ITO和ZTO均能实现良好性能,而AZO导致严重的性能损失。溅射过程会对TOPCon钝化造成损伤,但300°C退火可基本恢复。退火对TCO材料性能的影响各异:ZTO保持无定形,ITO发生部分结晶,AZO结晶度较高。霍尔测试显示ZTO导电性和迁移率低于ITO,这可能解释了单结电池中填充因子的微小差异。接触角和功函数测量表明,各TCO上空穴传输层的性质相似,但这些参数并不能完全预测电池性能。最终,在TOPCon底电池的叠层器件中,ZTO复合层实现了与ITO相近的效率。因此,ZTO是一种可行的无铟复合TCO材料,可采用直流溅射旋转靶材工艺,适用于工业化生产,且无效率损失。
联系电话:400 008 6690
美能QE量子效率测试仪可以用来测量太阳能电池的光谱响应,并通过其量子效率来诊断太阳能电池存在的光谱响应偏低区域问题。它具有普遍的兼容性、广阔的光谱测量范围、测试的准确性和可追溯性等优势。
▶兼容所有太阳能电池类型,满足多种测试需求
▶光谱范围可达300-2500nm,并提供特殊化定制
▶氙灯+卤素灯双光源结构,保证光源稳定性
原文参考:Indium-Free Recombination Junctions on Tunnel Oxide Passivating Contacts for Fully Textured Perovskite/Silicon Tandem Solar Cells









































































