
量子效率测试仪
PL/EL一体机
Sinton硅片少子寿命测试仪
Sinton硅块少子寿命测试仪
绒面反射率测试仪
3D共聚焦显微镜
在线四探针方阻测试仪
全自动扫描四探针方阻测试仪
在线薄膜厚度测试仪
晶化率测试仪
Horiba显微共焦拉曼光谱仪
傅里叶红外光谱仪
霍尔效应测试仪
分光光度计
全光谱椭偏仪
Horiba椭圆偏振光谱仪
TLM接触电阻率测试仪
超景深显微镜
网版智能影像测量仪
全自动影像测量仪
卧式拉力机
电池片稳态光衰老化试验箱
电池片紫外老化试验箱
电池片拉脱力综合测试仪
外观检验台
湿漏电测试系统
组件实验室EL测试仪
紫外老化试验箱
稳态光衰老化试验箱
电流连续性监测系统
PID测试系统
旁路二极管测试系统
LeTID测试系统
反向电流过载系统
脉冲电压测试系统
绝缘耐压测试仪
接地连续性测试仪
绝缘耐压接地测试仪
湿热环境试验箱
湿冻环境试验箱
热循环试验箱
动态机械载荷测试机
静态机械载荷测试机
冰雹冲击试验机
引出端强度试验机
霰弹冲击试验机
抗划伤(切割)测试机
剥离试验机
万能材料试验机(单臂)
万能材料试验机(双臂)
光伏玻璃透过率测试仪
醋酸测试试验箱
交联度测试系统
二极管接线盒综合测试仪
落球冲击试验机
半自动四探针
全自动探针式台阶仪
多通道太阳能MPPT系统
Horiba稳瞬态荧光光谱仪
大面积钙钛矿方阻椭偏二合一测试仪
大面积钙钛矿影像显微二合一监测站
钙钛矿P1激光划线测试仪
钙钛矿在线PL测试仪
钙钛矿在线方阻测试仪
钙钛矿在线膜厚测试仪
钙钛矿工艺检测工作站
便携式EL测试仪
手持热成像测试仪
户外组件多通道测试系统
光伏逆变器电能质量测试仪
无人机EL检测仪
光热真空老化试验箱
IV测试仪
IVEL分选机
TOPCon电池SiOₓ钝化接触层的不同CVD制备工艺性能对比
日期:2026-01-19浏览量:1160
晶体硅太阳能电池是光伏市场的主流技术,其效率提升高度依赖于表面钝化技术的进步。当前,基于氧化硅(SiOₓ)的钝化接触技术因能同时提供优异的化学钝化和场效应钝化,成为研究热点,有望推动电池效率超越现有PERC技术水平。然而,制备高质量SiOₓ层的关键工艺:化学气相沉积(CVD)存在多种技术路径,主要包括常压(APCVD)、低压(LPCVD)和等离子体增强(PECVD)方法。这些方法在沉积机理、薄膜生长环境及能耗成本上差异显著,导致所制备的SiOₓ薄膜在均匀性、致密度和缺陷态密度等关键指标上表现不一,进而直接影响TOPCon等高效电池的最终性能。美能QE量子效率测试仪可用于精确测量太阳电池的EQE与光谱响应,帮助优化界面工程和背接触设计,从而提升电池的量子效率和整体性能。
本研究旨在系统比较APCVD、LPCVD与PECVD三种方法所制备SiOₓ钝化层的结构、形貌与电学性能,阐明其影响电池性能的内在机制,以明确各自的优势、局限及适用场景,为高性能晶体硅太阳能电池的工艺开发与量产应用提供关键依据。
实验方法概述
实验采用n型CZ硅片,经织构化与硼扩散形成p⁺发射极。氧化硅钝化层分别通过三种化学气相沉积工艺在相应气压、温度与气体流量条件下制备。背面n⁺多晶硅层由低压化学气相沉积沉积并退火形成,正面采用原子层沉积生长Al₂O₃进行钝化,最后两侧沉积SiNₓ减反射与保护层。电池栅线采用激光转移印刷技术制备。性能测试在标准测试条件下进行,薄膜形貌、少子寿命及氢含量分别通过扫描电子显微镜、瞬态寿命测试仪与傅里叶变换红外光谱进行表征。
氧化硅薄膜的生长特性与形貌分析
(a) APCVD; (b) LPCVD; (c) PECVD 三种方法沉积SiO₂的示意图与表面形貌
氧化硅钝化层厚度极薄(约1–2 nm),其均匀性与致密度对电荷选择性传输至关重要。常压化学气相沉积在常压环境下进行,气体分子平均自由程短,碰撞频繁,导致反应物输运不均匀,薄膜易出现纳米级针孔、颗粒团聚及厚度起伏,界面缺陷密度较高(>6×10¹² cm⁻² eV⁻¹)。
低压化学气相沉积在低气压(10¹–10² Pa)下进行,气体分子平均自由程增大,有利于反应物向衬底表面均匀扩散,因此薄膜覆盖性、致密性与均匀性显著改善,界面缺陷密度降至2–3×10¹² cm⁻² eV⁻¹。
等离子体增强化学气相沉积通过射频能量将反应气体激发为等离子体,增强前驱体反应活性。尽管等离子体中带电粒子的剧烈运动可能引起薄膜微观均匀性略低于低压化学气相沉积,但其较高的化学反应效率促使薄膜具有更低的界面缺陷密度(<1.5×10¹² cm⁻² eV⁻¹)。
钝化性能与载流子传输机制
TOPCon 电池结构及其在 (a) APCVD; (b) LPCVD; (c) PECVD 制备的 SiOₓ 接触中的电荷迁移示意图
氧化硅层的质量直接影响电池的钝化效果与载流子分离效率。常压化学气相沉积制备的氧化硅层粗糙多孔,对界面的钝化不充分,电子与空穴均可穿越缺陷区域,导致载流子复合加剧,有效少子寿命仅为1.7 ms。
低压化学气相沉积形成的氧化硅层连续致密,能够有效钝化晶体硅表面。其较深的价带边可阻挡空穴向背面传输,从而实现高效的电荷分离,少子寿命提升至2.3 ms。
等离子体增强化学气相沉积薄膜虽然均匀性略低,但由于等离子体活化过程中硅烷分解更充分,形成含氢氧化硅。适量氢的引入进一步降低界面态密度,并获得最高的少子寿命(2.5 ms)。氢的掺入也使薄膜电阻率从低压化学气相沉积层的5.5×10⁹ Ω·cm降至2.9×10⁹ Ω·cm。
电池性能对比
不同CVD方法钝化的 TOPCon 太阳能电池性能参数对比:(a) 开路电压 (Vₒc); (b) 短路电流密度 (Jₛc); (c) 填充因子 (FF); (d) 功率转换效率 (PCE)
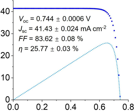
PECVD-SiOₓ 钝化 TOPCon 太阳能电池的电流密度-电压 (J-V) 与功率密度-电压 (P-V) 曲线
电池的开路电压直接反映钝化质量。低压化学气相沉积与等离子体增强化学气相沉积钝化的电池开路电压分别达到743.9 mV与743.8 mV,显著高于常压化学气相沉积电池的735.9 mV。
得益于较低的电阻率,等离子体增强化学气相沉积钝化的电池获得最高的短路电流密度(41.43 mA·cm⁻²),填充因子也较另外两种方法有轻微提升。最终,其平均转换效率达到25.78%,优于低压化学气相沉积的25.6%与常压化学气相沉积的24.9%。经认证,等离子体增强化学气相沉积制备的大面积n型TOPCon电池转换效率为25.8%,与当前行业领先水平相当。
本研究为不同化学气相沉积技术在氧化硅钝化接触中的应用提供了明确的性能对比与机理分析,对高效晶体硅电池的工艺选择具有指导意义。使用CVD制备SiOₓ钝化接触已成为晶体硅太阳能电池生产中的常用技术,但不同CVD方法所制备SiOₓ层的性能差异显著。APCVD中气体分子的不规则运动对成膜产生负面影响,常导致SiOₓ层疏松、多孔且粗糙,此类薄膜不适用于高性能TOPCon太阳能电池,其钝化的电池转换效率仅为24.9%。相比之下,LPCVD能制备均匀、光滑且致密的SiOₓ钝化层,适用于大规模工业TOPCon电池制造,相应电池的平均转换效率为25.6%。PECVD则通过高频电磁能量将气体分子激发为等离子体状态,形成高氢含量的SiOₓ层,从而使TOPCon太阳能电池的平均PCE达到25.8%。
美能QE量子效率测试仪
联系电话:400 008 6690
美能QE量子效率测试仪可以用来测量太阳能电池的光谱响应,并通过其量子效率来诊断太阳能电池存在的光谱响应偏低区域问题。它具有普遍的兼容性、广阔的光谱测量范围、测试的准确性和可追溯性等优势。
▶兼容所有太阳能电池类型,满足多种测试需求
▶光谱范围可达300-2500nm,并提供特殊化定制
▶氙灯+卤素灯双光源结构,保证光源稳定性
原文参考:Silicon Oxide Passivated Contacts Manufactured by Chemical Vapor Deposition Processes for Crystalline Silicon Solar Cells









































































