
量子效率测试仪
PL/EL一体机
Sinton硅片少子寿命测试仪
Sinton硅块少子寿命测试仪
绒面反射率测试仪
3D共聚焦显微镜
在线四探针方阻测试仪
全自动扫描四探针方阻测试仪
在线薄膜厚度测试仪
晶化率测试仪
Horiba显微共焦拉曼光谱仪
傅里叶红外光谱仪
霍尔效应测试仪
分光光度计
全光谱椭偏仪
Horiba椭圆偏振光谱仪
TLM接触电阻率测试仪
超景深显微镜
网版智能影像测量仪
全自动影像测量仪
卧式拉力机
电池片稳态光衰老化试验箱
电池片紫外老化试验箱
电池片拉脱力综合测试仪
外观检验台
湿漏电测试系统
组件实验室EL测试仪
紫外老化试验箱
稳态光衰老化试验箱
电流连续性监测系统
PID测试系统
旁路二极管测试系统
LeTID测试系统
反向电流过载系统
脉冲电压测试系统
绝缘耐压测试仪
接地连续性测试仪
绝缘耐压接地测试仪
湿热环境试验箱
湿冻环境试验箱
热循环试验箱
动态机械载荷测试机
静态机械载荷测试机
冰雹冲击试验机
引出端强度试验机
霰弹冲击试验机
抗划伤(切割)测试机
剥离试验机
万能材料试验机(单臂)
万能材料试验机(双臂)
光伏玻璃透过率测试仪
醋酸测试试验箱
交联度测试系统
二极管接线盒综合测试仪
落球冲击试验机
半自动四探针
全自动探针式台阶仪
多通道太阳能MPPT系统
Horiba稳瞬态荧光光谱仪
钙钛矿P1激光划线测试仪
钙钛矿在线PL测试仪
钙钛矿在线方阻测试仪
钙钛矿在线膜厚测试仪
钙钛矿工艺检测工作站
手持式IV测试仪
便携式EL测试仪
手持热成像测试仪
户外组件多通道测试系统
光伏逆变器电能质量测试仪
无人机EL检测仪
大平台方阻+椭偏测试仪
大面积钙钛矿影像显微二合一监测站
IV测试仪
IVEL分选机
高性能、大面积NIR透明钙钛矿电池的制备与优化:基于ALD SnOₓ缓冲层策略结合椭偏光学分析
日期:2025-08-29浏览量:375
钙钛矿太阳能电池(PSC)因其高效率和带隙可调性,在叠层和双面结构中具有广阔应用前景。通常采用溅射制备的透明导电氧化物(TCO)作为电极,但溅射过程的高能粒子会损伤钙钛矿及有机电荷传输层。为此,本研究通过原子层沉积(ALD)技术在低温下制备氧化锡(SnOₓ)薄膜作为缓冲层,以有效阻挡溅射损伤和紫外光影响,采用美能全光谱椭偏仪对薄膜的结构、光学及组分性能进行了详细表征,最终将优化的SnOₓ层成功应用于大面积近红外透明PSC中,为提升叠层和双面电池性能提供了有效方案。
实验部分
材料
电池制备的材料详情
使用电子级四(二甲氨基)锡(IV)(TDMASn,纯度>99.5%)和高纯度去离子水(DI)作为前驱体;钙钛矿原料包括CsI、PbI₂、PbBr₂、Me4PACZ、FAI;溶剂及其他材料包括DMSO、DMF、乙酸乙酯、BCP和C60等,均按原样使用。
制备方法ALD薄膜制备:以 TDMASn 和 DI 水为前驱体,通过热 ALD 制备 20nm 厚 SnOₓ缓冲层,最优循环为(2,9,2,11)、沉积温度 80℃;另以 TMA 和 DI 水制备 Al₂O₃界面层(90℃,每循环沉积 0.083nm),用于钙钛矿层表面界面修饰。
钙钛矿层制备:配制 1.6M 双阳离子宽带隙钙钛矿溶液(溶剂 DMF:DMSO=4:1),在 Me4PACz 空穴传输层上 6000rpm 旋涂 35s(滴加乙酸乙酯反溶剂),100℃退火 60 分钟形成钙钛矿活性层。
电池结构与电极制备:分不透明电池(活性面积 0.175cm²)和NIR 透明电池(1.08cm²),其中 Ag 指状电极用于提升 IZO 透明电极的导电性,SnOₓ起溅射损伤防护作用。
表征手段全光谱椭偏仪对薄膜结构、组分和光学性能进行表征,电池性能通过J-V测试和外部量子效率(EQE)测量评估。
结果与分析
ALD-SnOₓ薄膜的生长行为
100℃下 ALD-SnOₓ薄膜的 ALD 反应饱和行为分析
反应饱和性验证:测试结果显示,当 n₁≥2 且 n₂≥2 时,薄膜生长速率(GPC)的变化 < 0.1Å/ 循环,表明 ALD 反应达到饱和。
(a-b)SnOx薄膜生长行为(c-d)ALD随TDMASN温度的变化(e-f)ALD随沉积温度变化
吹扫时间优化:结果显示薄膜的密度、GPC 及粗糙度无显著差异,因此选择(9s,11s)的短吹扫时间以缩短 ALD 沉积周期。
前驱体鼓泡温度优化:为确保 TDMASn 具有足够蒸气压,在 150℃、200 个 ALD 循环(2,30,2,30)条件下,对比 TDMASn 鼓泡温度 80℃与 85℃的影响。XRR 结果表明,85℃时蒸气压更稳定。
沉积温度对生长行为的影响:XRR结果显示:GPC 随沉积温度升高从 1.22Å/ 循环(80℃)降至 0.68Å/ 循环(140℃);薄膜密度随温度降低略有下降,但均保持 > 5.6g/cm³;厚度均匀性 < 3%。
从抛光nSi(100)衬底上约20nm的SnOₓ薄膜的XRR图谱中提取的量值
ALD-SnOₓ薄膜的结构、成分与光学特性
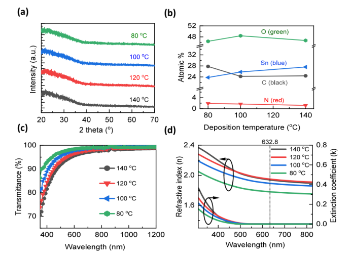
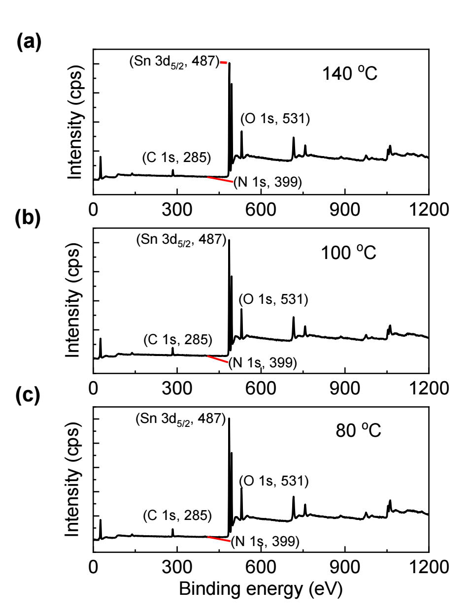
不同沉积温度下 20nm 厚 ALD-SnOₓ薄膜的 X 射线XPS全谱图
(a)GIXRD(b)XPS扫描得到的原子百分比(c)UV−Vis−NIR透射光谱(d)折射率和消光系数
基于 XPS 分析的 ALD-SnOₓ薄膜元素及氧键合状态比值
GIXRD结果表明所有温度下沉积的SnOₓ均为非晶态。XPS分析显示,80°C下沉积的薄膜具有更接近化学计量比的O/Sn比(1.95)和较高的氧空位比例,表明低温沉积更有利于获得理想组分。深度剖面XPS显示碳和氮含量极低,说明前驱体分解完全。
透射光谱表明,低温沉积的薄膜具有更高的平均透光率(80°C时达97.95%)。椭偏仪分析显示折射率随温度升高而增加(80°C时为1.78,140°C时为1.94),消光系数在紫外区较低。AFM测量显示表面粗糙度随温度升高而略微增加(80°C时为0.18 nm)。
PSC电池性能
太阳能电池特性(a)FS和RS中的光电流密度-电压曲线(b)EQE光谱和积分短路电流密度
不同ALD-SnOₓ厚度的近红外透明P钙钛矿太阳能电池在FS和RS中的光电流密度-电压曲线图
(a)电池结构图(b)PSC的FS和RS的l-v曲线(c)EQE光谱和积分短路密度曲线
制备活性面积 0.175cm² 的不透明电池时,用6 nm ALD-SnOₓ替代BCP层后,电池性能未出现显著下降,说明SnOₓ具有良好的界面兼容性。在NIR透明PSC中,对比10、20和30 nm SnOₓ缓冲层的效果后发现,20 nm厚度可在防止溅射损伤和避免串联电阻增加之间取得最佳平衡,最终实现17.53%的PCE。
在大面积(1.08 cm²)NIR透明PSC中,采用20 nm SnOₓ缓冲层和溅射IZO电极,获得了16.53%的PCE,Voc为1.189 V,Jsc为20.25 mA/cm²,FF为68.65%。EQE光谱和积分短路密度进一步验证了电池性能。
本研究通过系统优化ALD工艺参数,成功制备出非晶、致密、平滑、高透光且组分适宜的SnOₓ薄膜。优化后的20 nm SnOₓ缓冲层能有效阻挡溅射损伤,适用于大面积NIR透明PSC,最高效率达16.53%。该研究为双面、四端叠层以及不透明基底上的钙钛矿光伏技术提供了重要技术支持。
联系电话:400 008 6690
全光谱椭偏仪拥有高灵敏度探测单元和光谱椭偏仪分析软件,专门用于测量和分析光伏领域中单层或多层纳米薄膜的层构参数(如厚度)和物理参数(如折射率n、消光系数k)
▶ 先进的旋转补偿器测量技术:无测量死角问题。
▶ 粗糙绒面纳米薄膜的高灵敏测量:先进的光能量增强技术,高信噪比的探测技术。
▶ 秒级的全光谱测量速度:全光谱测量典型5-10秒。
▶ 原子层量级的检测灵敏度:测量精度可达0.05nm。
通过美能全光谱椭偏仪分析薄膜的折射率(n)、消光系数(k)为低温沉积的SnOₓ薄膜能够有效减少光学反射损失提供数据依据,满足近红外透明钙钛矿太阳能电池对功能层的光学要求。
原文参考:Optimization of Atomic Layer Deposition Process of Tin Oxide Thin Films for Near-Infrared-Transparent Halide Perovskite Solar Cells










































































